在使(shǐ)用轉子流量計(ji)
的實際工作中(zhong)常會用到工作(zuo)原理公式。然而(ér)目前不少文獻(xiàn)對☁️該公式的推(tuī)導過程存在二(er)些原則性的缺(quē)欠,爲便于正确(que)理解和使用轉(zhuan)子流量計工作(zuo)原理公式,對此(ci)提出一🥵些商榷(què)性意見,供參考(kao)。
對于轉子流量(liàng)計工作原理公(gōng)式的推導,查閱(yue)國内外的文🥰獻(xiàn)🈚資‼️料其方法基(ji)本相同。現簡述(shu)如下:
首先根據(ju)Bernolltil方程導得節流(liú)裝置的體積流(liú)量表達式:
然後(hou)根據轉子受力(lì)的平衡式
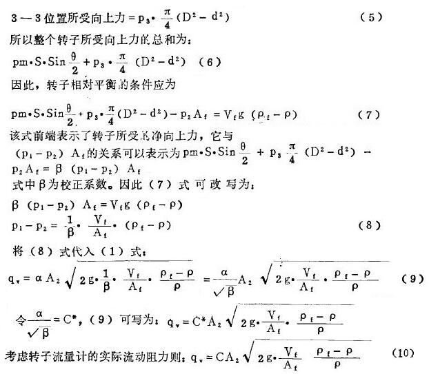
(P1-P2)Af=Vfg(ρf-ρ) (2)
把(2)式(shi)代入(1)式并考慮(lü)轉子流量計的(de)實際流動中的(de)阻力得:
該(3)式即(ji)爲轉子流量計(jì)的工作原理公(gōng)式。雖然(3)式在實(shí)🌈際使用中正确(que)無誤,但其推導(dǎo)過程中的(2)式有(yǒu)錯誤,在未加任(rèn)何👄假定的條件(jian)下(2)式不成立(參(can)考文獻都未加(jiā)☀️任何說明)。對于(yú)(3)式在實際使用(yong)中雖能正确無(wú)誤,但這是由于(yú)轉子流量計流(liu)量系數C是通過(guo)實驗測定的緣(yuán)故,從而遮蓋了(le)(2)式的錯誤。
對(2)式(shi)進行分析,不難(nan)看出它表示轉(zhuan)子所受向上爲(wei)力p1Af與🔞所🛀受⭕向❄️下(xia)的力p2Af之差等于(yú)轉子在流體中(zhōng)的向下重力,使(shǐ)轉子處于相對(dui)靜止平衡狀态(tai)。但是錯誤發生(shēng)在對由壓💃🏻強所(suǒ)引起的向上力(li)p1Af的處理方法上(shàng)。由壓強引起的(de)向上力在不加(jia)任何說明的情(qíng)況下🚶不應該等(deng)于p1Af。
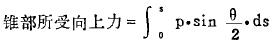
轉子所(suǒ)受由壓強引起(qǐ)的向上力包括(kuò)兩部分,(見圖)。一(yi)部分在轉子的(de)錐形部分,一部(bu)分是在3-3位置的(de)轉子凸部位。轉(zhuan)子🔞的錐形部分(fen)由于其環隙通(tōng)道截面積的變(bian)化,壓強随之位(wei)置而變‼️化,因此(ci)📧錐部表面積👌S所(suo)受壓強是不均(jun)勻🌈的。其所受向(xiàng)上力應爲:
若以(yi)平均壓強pm,表示(shi)錐部所受壓強(qiáng),則上式可改寫(xiě)爲:
至于3-3位置轉(zhuan)子所受向上力(lì)可由下式表示(shi):
但對力的分析(xī)比較合理,避免(mian)了像(2)式那樣不(bu)加任㊙️何說明的(de)原則性均缺欠(qiàn)。讀者在閱讀其(qí)它文獻時😍應對(dui)此有一個🔴清晰(xi)♻️的認識,.以便在(zài)實際工作中正(zheng)确的使👅用轉子(zi)流量計工作原(yuán)理公式。
符号說(shuō)明
A2轉子頂部2-2面(mian)位置的通道截(jie)面積,m2
P1轉子下尖(jiān)1一1面位置的壓(ya)強〔Pa〕
P2轉子頂部2一(yi)2面位置均壓強(qiang)〔Pa〕
ρ流體密度kg/m3
α由Bernoulli方(fāng)程導出(1)式的校(xiao)正系數
C轉子流(liu)量計的流量系(xì)數
Af轉子的最大(dà)部分的截面積(ji)m2
Vf轉子的體積m3
g重(zhòng)力加速度m/s2
ρf轉子(zi)的密度kg/m3
ρ流體的(de)密度kg/m3
ρv流體均體(ti)積流量m3/S
P壓強〔Pa〕
pm轉(zhuan)子流量計錐部(bù)所受平均壓強(qiáng)〔Pa〕
S轉子錐部的表(biǎo)面積m2
D轉子頂部(bu)的直徑m
D 轉子中(zhōng)部的直徑m
以上(shang)内容來源于網(wang)絡,如有侵權請(qǐng)聯系即删除!